Op Een Go

Langa Ft. Bokke8

ISRC: NL8SP2600061

Tijdsduur: 2m:57s seconden

Uitgebracht: 2026-02-13

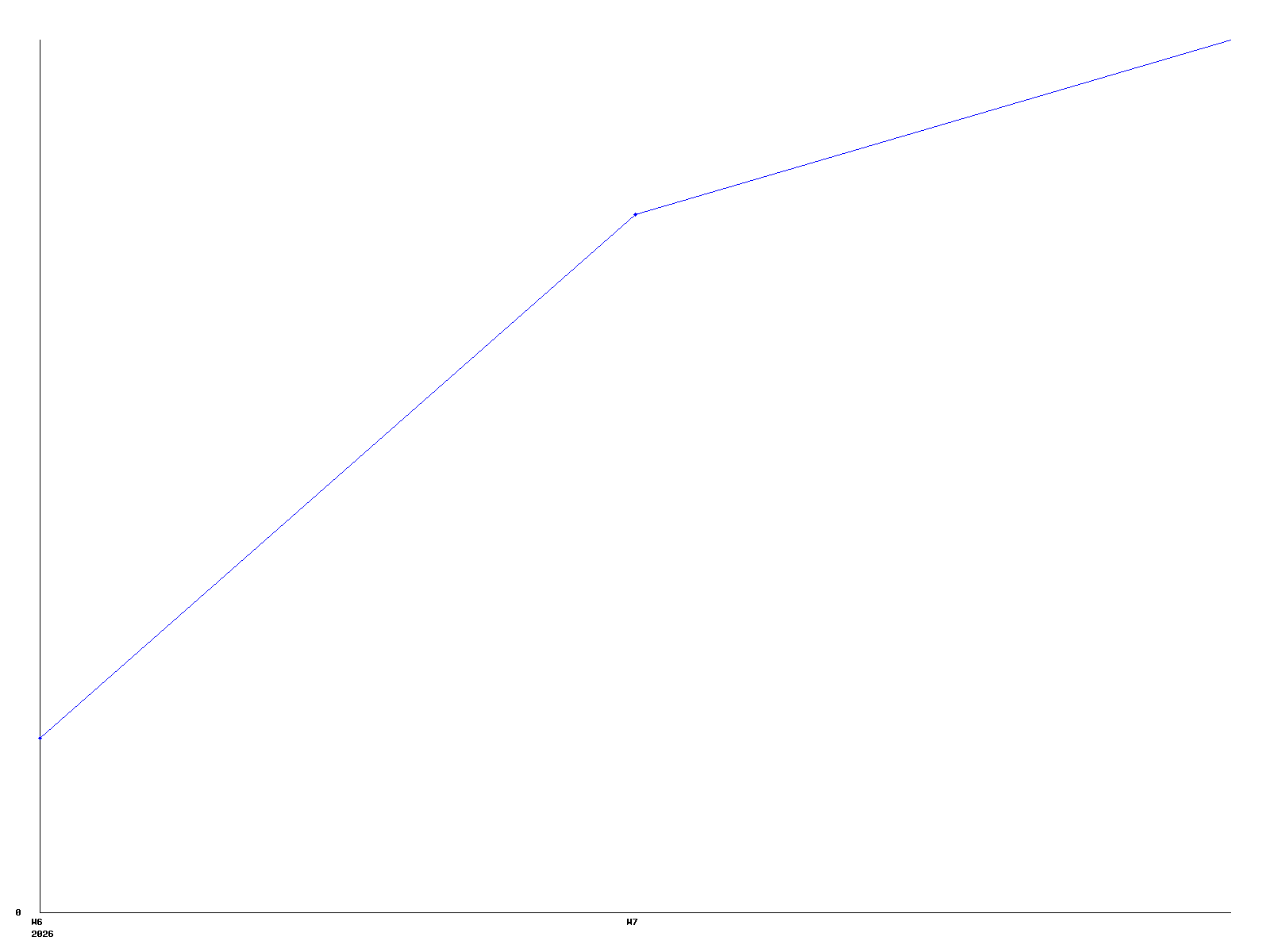
Plays per week

Artiesten op deze track

Langa

Langa

GS

GS

Bokke8

Bokke8

Meer tracks van Langa Ft. Bokke8

Langa Ft. Bokke8 - Op Een Go